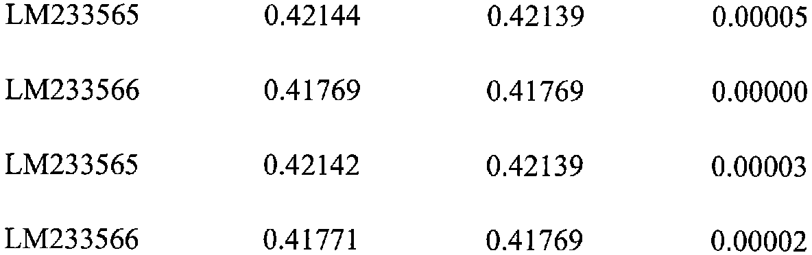
崇信县城区生活垃圾填埋场2023年11月份检测报告 发文日期:2023-12-20 11:51 来源:崇信县城市管理综合执法局 作者:崇信县城市管理综合执法局 编辑:袁婕 SKM_28723121509150 扫一扫在手机打开当前页 上一篇: 崇信县城区生活垃圾填埋场2023年12月份检测报告 下一篇: 崇信县城区生活垃圾填埋场2023年10月份检测报告