2020年上半年,平凉市环境监测站对我县城区集中式生活饮用水源水质进行监测,水源地类型均为地下水源。
(一)监测点位
地下水水源:具备采样条件的,在抽水井采样。如不具备采样条件,在自来水厂的汇水区(加氯前)采样。
(二)监测项目
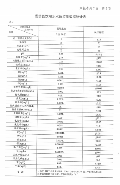
监测项目为《地下水质量标准》(GB/T 14848-2017)中35项。
二、评价标准及方法
根据《地下水质量标准》(GB/T 14848-2017)表1中Ⅲ类水质标准,采用单因子评价法进行评价。
三、评价结果
崇信县集中式饮用水源地所监测的35个项目均达标,达标率为100%。
备注:1.集中式生活饮用水水源,是指进入输水管网送到用户的和具有一定取水规模(供水人口一般大于1000人)的在用、备用和规划水源。
2.集中式生活饮用水水源和饮用水的区别:饮用水水源为原水,居民饮用水为末梢水,水源水经自来水厂净化处理达到《生活饮用水卫生标准》的要求后,进入居民供水系统作为饮用水。

