一、 基础信息:
|
单位名称 |
|
法定代表人 |
梁小强 |
|
生产地址 |
甘肃省平凉市崇信县锦屏镇关村村 |
监控层级 |
市控级 |
|
联系方式 |
0933-6128632 |
邮编 |
744200 |
|
联系人 |
梁小强 |
联系电话 |
13830369777 |
|
组织机构代码 |
91620823MA71N1BT66 |
行业类别 |
城镇生活污水处理 |
|
主要产品及生产规模 |
处理达标排放的污水 |
生产工艺 |
CW-SBR、CASS |
|
执行的排放标准 |
城镇污水处理厂污染物排放标准(GB18918-2002)一级A标准 |
排放方式 |
连续排放 |
|
核定年排放废水总量 |
86.4万吨/年 |
实际年排放废水总量 |
112.08万吨(2018年) |
|
排放口数量 |
1个 |
主要排放污染物 |
COD、氨氮 |
|
日均排放总量(kg) |
COD:27.77kg |
日均排放浓度(mg/L) |
COD:14.38mg/L |
|
氨氮:4.063kg |
氨氮:2.03mg/L |
||
|
污染物排放标准(mg/l) |
COD:≦50mg/L |
||
|
氨氮:≦5(8)mg/L |
|||
二、企业基本情况
崇信县城区生活污水处理厂位于崇信县锦屏镇关村村,占地总面积25亩,主要接纳崇信县城区生活污水,注册资金3960万元,建设规模为近期(2015年)日处理能力3000立方米,远期(2025年)日处理能力6000立方米,配套污水收集管网20.22公里。我厂2013年3月开始施工建设,2014年年底完成了土建及设备安装(土建工程按远期规模一次性建成,污水处理设备按近期规模安装,部分设备预留远期安装位置),2015年2月进行设备联合调试运行,7月份实现自动在线监控设施联网传输,并于2015年8月31日通过环保验收。
2015年6月至2017年3月底由陕西兰环环境工程有限公司运营,2017年开始提标扩容工程建设,2017年4月1日至2018年5月20日由北京及亚特环保科技有限公司运营,2018年5月21日由县给排水公司组建成立崇信县城区生活污水处理厂截止2018年8月底完成营业执照办理及税务登记工作。
根据实际运行情况统计,2018年全年进水量112.08万m³,共计处理污水111.51万m³,污水处理率达到99%,与2017年相比污水处理量增加32.77万吨。2018年度COD减排量225.9吨。氨氮减排量73.84吨,出水主要指标平均值:COD:23.07mg/l(标准值≤60mg/l),BOD:5.3mg/l(标准值≤20mg/l),SS:5.1mg/l(标准值≤20mg/l),总磷:0.63mg/l(标准值≤1.0mg/l),氨氮:3.62mg/l(标准值≤8mg/ l),完全达到《城镇污水处理厂污染物排放标准》(GB18918—2018)国家一级B标准。
现污水采用CWSBR(序批式反应器)处理工艺(二期生化池3#、4#采用CASS工艺),污泥采用机械浓缩脱水处置工艺,即采用“格栅+旋流沉砂池+SBR生化池+二氧化氯消毒”的工艺去除污染物。排放水质达到《城镇污水处理厂污染物排放标准》(GB18918-2002)中的一级A标准,污水处理达标后排至汭河。
进行提标改造工程后,使处理后出水水质由原来一级B标准提高到一级A标准(目前为一级B标准),污泥含水率由80%降到40%以下,处理后的污泥可作为肥料用于园林绿化;实施中水回用工程,将处理后的中水用于城区绿化、街道抑尘、工程施工用水等(现一级A标准处理尾水排入汭河)
三、排污信息:
2019年10月份在线监测数据日均值统计表
|
时间 |
进口 |
出口 |
||||
|
流量 (m³ /h) |
COD |
氨氮 |
流量 (m³ /h) |
COD |
氨氮 |
|
|
(mg/l) |
(mg/l) |
(mg/l) |
(mg/l) |
|||
|
1 |
2805.87 |
199.6 |
26.75 |
2771.76 |
15.29 |
1.57 |
|
2 |
3847.7 |
230.25 |
29.93 |
3871 |
14.18 |
1.26 |
|
3 |
4015.9 |
229.64 |
36.26 |
3699.75 |
11.4 |
1.46 |
|
4 |
5607.61 |
207.74 |
51.71 |
5252.7 |
13.62 |
1.93 |
|
5 |
3865.05 |
209.7 |
52.57 |
3819.7 |
17.82 |
0.97 |
|
6 |
6400.94 |
189.04 |
41.53 |
6703.11 |
19.71 |
1.84 |
|
7 |
2886.2 |
206.68 |
55.33 |
3134.31 |
17.78 |
1.01 |
|
8 |
4288.36 |
210.1 |
40.41 |
4490.93 |
12.89 |
1.53 |
|
9 |
3762.7 |
180.8 |
46.83 |
3844.92 |
10.01 |
1.22 |
|
10 |
3617.06 |
193.09 |
56.04 |
3613.93 |
11.04 |
1.86 |
|
11 |
4061.84 |
183.98 |
47.84 |
4068.12 |
11.23 |
1.31 |
|
12 |
4398.84 |
178.16 |
47.61 |
4567.14 |
12.51 |
1.66 |
|
13 |
3952.37 |
188.78 |
41.85 |
3879.04 |
14.32 |
1.61 |
|
14 |
3368.74 |
198.95 |
49.37 |
3347.08 |
15.04 |
1.26 |
|
15 |
4832.52 |
178.81 |
42.09 |
4930.3 |
14.34 |
1.92 |
|
16 |
3006.36 |
143.89 |
56.79 |
3175.58 |
12.54 |
1.08 |
|
17 |
3521.16 |
176.54 |
53.99 |
3717.69 |
12.44 |
1.1 |
|
18 |
2946.88 |
191.93 |
57.47 |
2892.58 |
13.47 |
1.31 |
|
19 |
3380.52 |
197.56 |
59.31 |
3345.18 |
12.75 |
1.42 |
|
20 |
4227.08 |
210.52 |
53.15 |
4303.26 |
14.04 |
1.41 |
|
21 |
3523.78 |
248.32 |
42.46 |
3605.31 |
14.36 |
2.13 |
|
22 |
3569.2 |
216.04 |
53.69 |
3558.64 |
15.53 |
1.09 |
|
23 |
3966.82 |
214.93 |
67.72 |
3930.12 |
14.34 |
1.38 |
|
24 |
4212.5 |
192.56 |
53.02 |
4131.11 |
14.7 |
1.9 |
|
25 |
4052.27 |
154.88 |
42.12 |
4222.28 |
13.43 |
1.49 |
|
26 |
4951.48 |
125.27 |
53.42 |
4362.34 |
36.73 |
1.62 |
|
27 |
3295.78 |
139.78 |
43.96 |
36.35 |
9.22 |
0.73 |
|
28 |
3731.46 |
167.62 |
50.96 |
13.21 |
8.6 |
1.25 |
|
29 |
3635.61 |
140.58 |
53.44 |
0 |
11.58 |
0.87 |
|
30 |
3539.38 |
120.8 |
54.31 |
0 |
12.5 |
1.19 |
|
31 |
4752.77 |
86.42 |
55.42 |
0 |
12.63 |
1.13 |
|
最小值 |
2805.87 |
86.42 |
26.75 |
0 |
8.6 |
0.73 |
|
最大值 |
6400.94 |
248.32 |
67.72 |
6703.11 |
36.73 |
2.13 |
|
平均值 |
3936.28 |
184.29 |
48.95 |
3331.85 |
14.19 |
1.4 |
2019年10月28日出口流量计故障,导致流量无法正常上传。
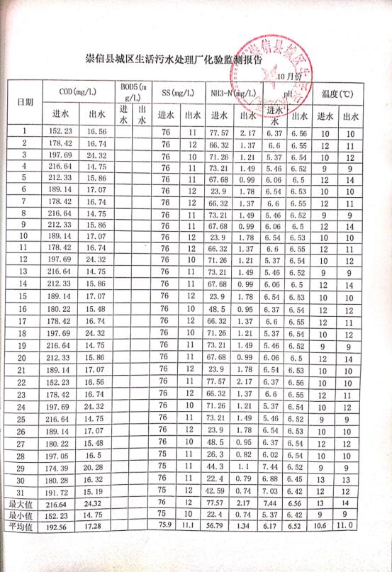
2019年十月份水质监测报告


四、防治污染设施的建设和运行情况:
主要建有提升泵及沉砂池、配水井、CW-SBR生化池、接触池、加药间、鼓风机房、污泥脱水机房(内设贮泥池)、综合办公楼、化验室和废水进出口在线监测设施等。所有环保设施均正常运行。崇信县城区生活污水处理厂采用CW-SBR工艺进行污水处理,目前每天约产生2吨污泥,我厂和崇信县垃圾填埋场达成协议,由专车将污泥转运至垃圾填埋场进行卫生填埋,并做好相关转运联单记录
|
防治污染设施 |
|
|
建设情况 |
运行情况 |
|
监测设施 |
正常运行 |
|
处理设施 |
正常运行 |
|
管理制度 |
正常运行 |
|
运行档案 |
完善 |
|
减排台账 |
完善 |
五、突发环境事件应急预案:
应环境保护部门和所在地政府的要求,厂区对突发环境事件建立健全环境应急管理制度.根据《崇信县城区生活污水处理厂突发环境事件应急预案》,突发环境事件发生后能及时启动环境应急预案,并且能及时预防和处置措施。2016年5月,经专家评审,现已完成并上报省环保厅备案。预案编号为:6208232016001。
六、建设项目环境影响评价制度执行情况及其他环境行政许可情况:













